Zum Inhalt springen
Home
Mathematik
Mathe-Bücher
SP 8
SP 9
SP 10
HS-Abschluss
MdMA
HSA 2025
HSA 2024
HSA 2023
HSA 2022
HSA 2021
HSA 2020
HSA 2019
HSA 2018
HSA 2015
Übungsmaterial
Informatik
Info
Disclaimer
Impressum
Über uns
Quellen
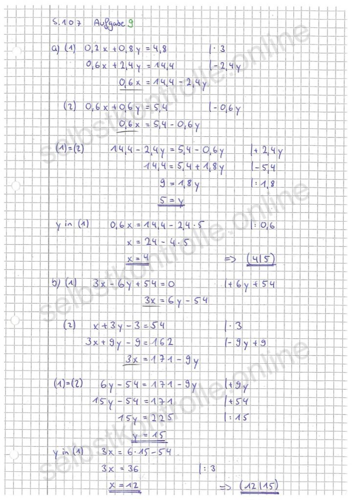
SP08 – Seite 107 – Nr. 9 (grün)
Cookies
Ja, auch wir verwenden Cookies. Take it or leave it!
Wenn´s sein muss...