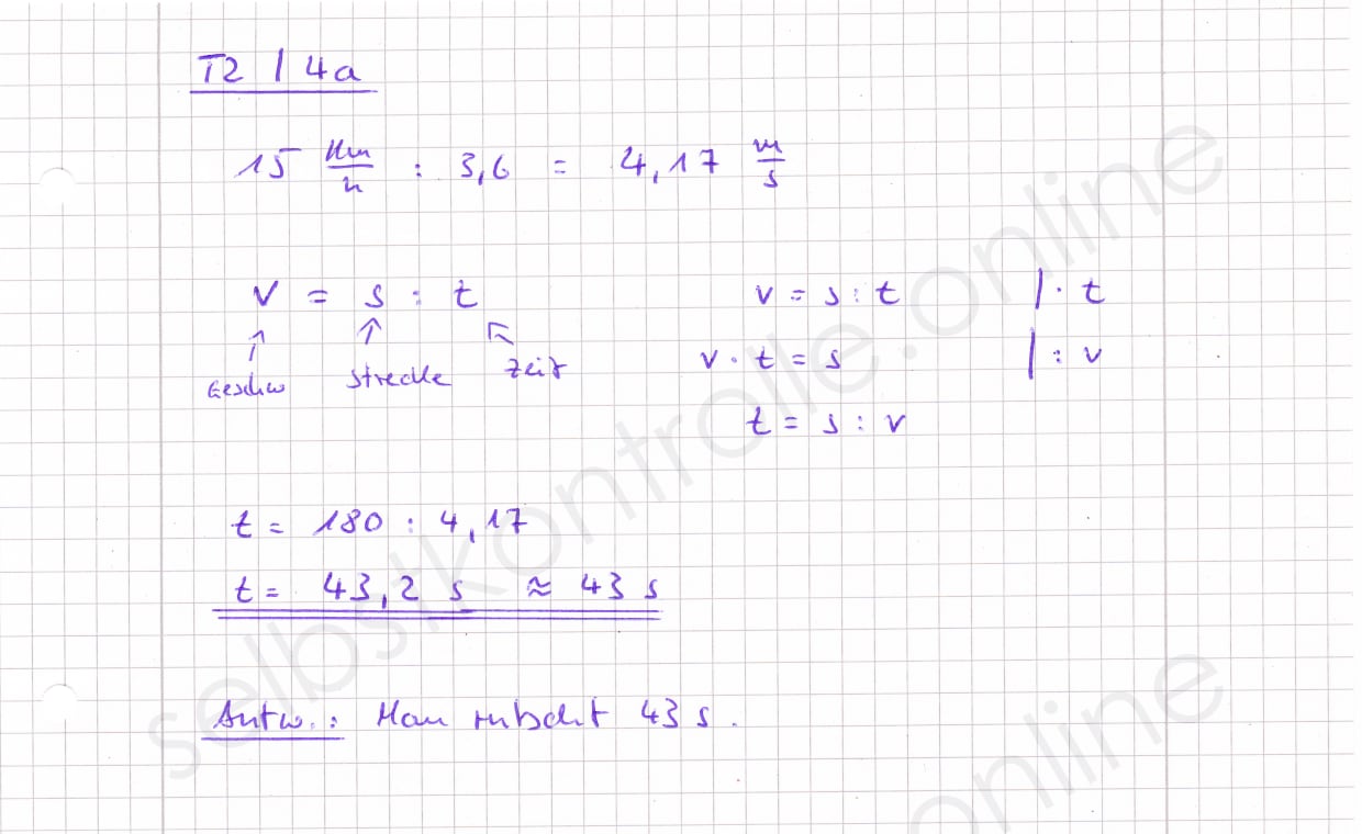
HSA 2015
Für die Lösung einfach auf die Aufgabe klicken.
Hinweis: Manche Größenverhältnisse weichen von den Originalprüfungen leicht ab. Die Aufgabenstellung und der damit notwendige Lösungsweg wird dadurch aber nicht beeinflusst. Auch sind die Bilder und Skizzen nicht die Originalen, sondern diesen nur nachempfunden.






















